Официальное опубликование правовых актов
ОФИЦИАЛЬНОЕ ОПУБЛИКОВАНИЕ
Приказ Министерства транспорта и дорожного хозяйства Мурманской области от 26.04.2024 № 107
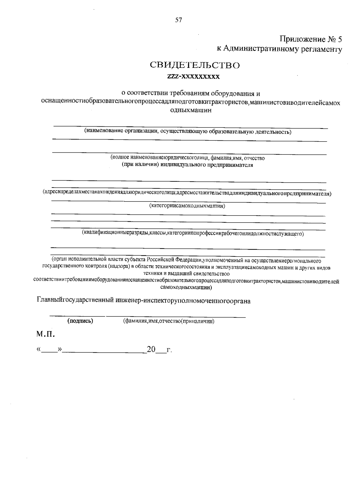
"Об утверждении административного регламента Министерства транспорта и дорожного хозяйства Мурманской области по оказанию государственной услуги "Выдача организациям, осуществляющим образовательную деятельность, свидетельств о соответствии требованиям оборудования и оснащенности образовательного процесса для подготовки трактористов, машинистов и водителей самоходных машин"
Номер опубликования: 5101202404260003
Дата опубликования: 26.04.2024
Страница №58 из 64:
Увеличить