Официальное опубликование правовых актов
ОФИЦИАЛЬНОЕ ОПУБЛИКОВАНИЕ
Приказ Министерства транспорта и дорожного хозяйства Мурманской области от 06.04.2021 № 51
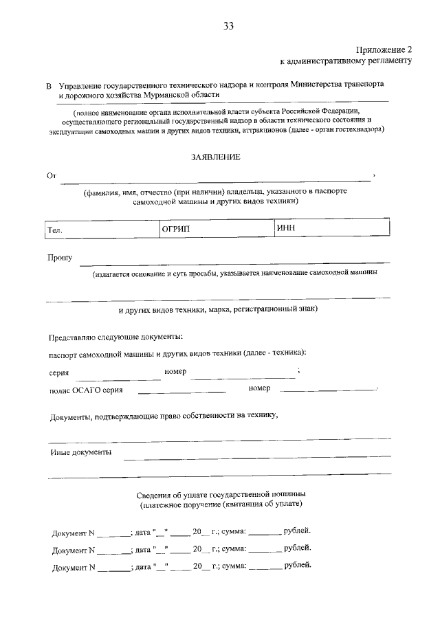
"Об утверждении административного регламента Министерства транспорта и дорожного хозяйства Мурманской области по оказанию государственной услуги "Государственная регистрация самоходных машин и других видов техники"
Номер опубликования: 5101202104080001
Дата опубликования: 08.04.2021
Страница №34 из 40:
Увеличить