Официальное опубликование правовых актов
ОФИЦИАЛЬНОЕ ОПУБЛИКОВАНИЕ
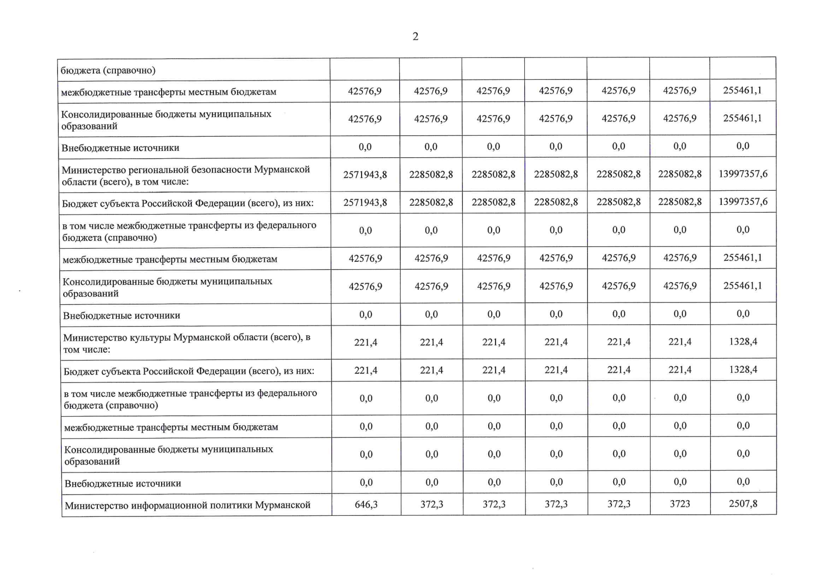
Постановление Правительства Мурманской области от 20.12.2025 № 898-ПП
"О внесении изменений в государственную программу Мурманской области "Общественная безопасность"
Номер опубликования: 5100202512230012
Дата опубликования: 23.12.2025
Страница №3 из 6:
Увеличить