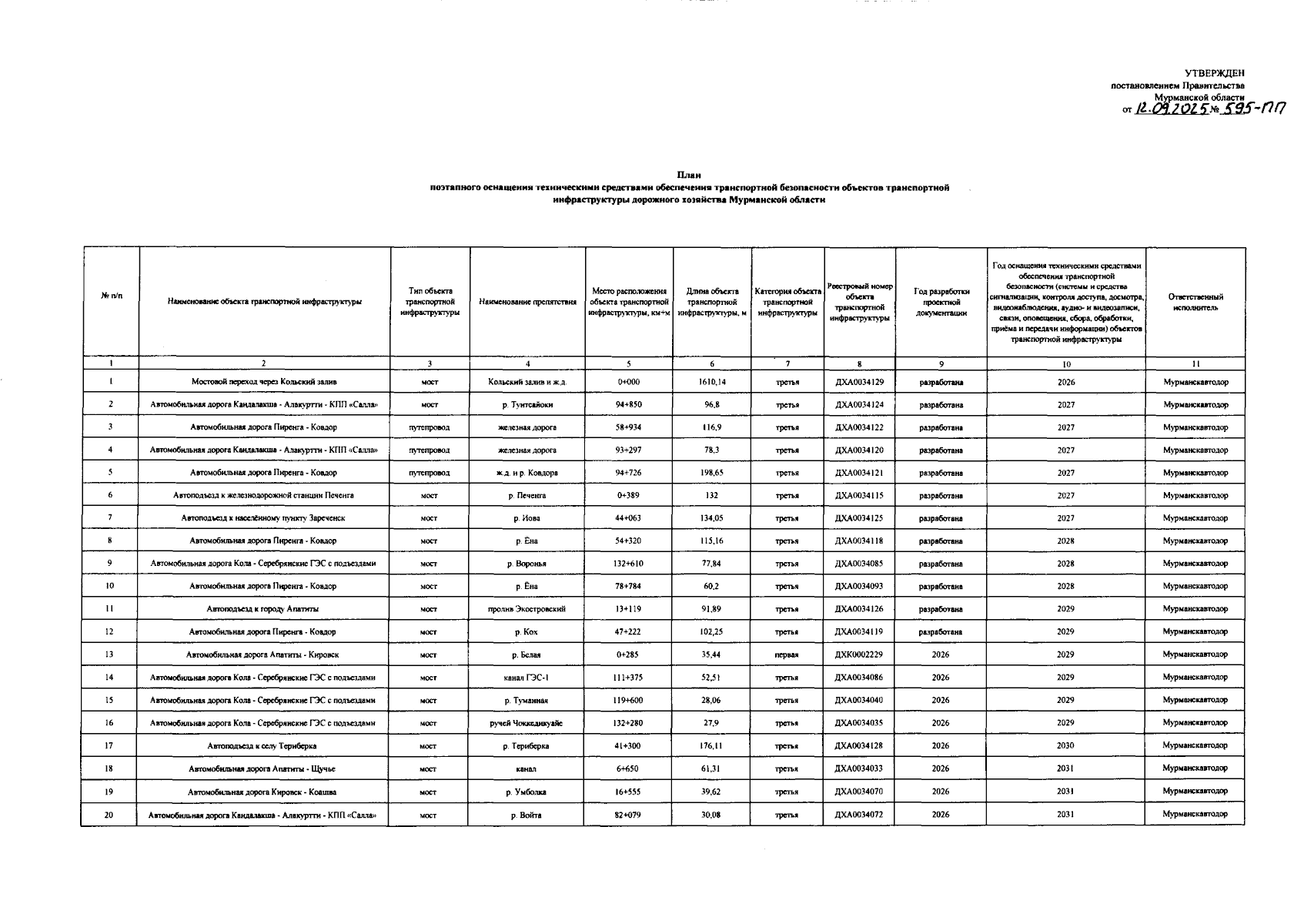
Постановление Правительства Мурманской области от 12.09.2025 № 595-ПП
"Об утверждении Плана поэтапного оснащения техническими средствами обеспечения транспортной безопасности объектов транспортной инфраструктуры дорожного хозяйства Мурманской области"
"Об утверждении Плана поэтапного оснащения техническими средствами обеспечения транспортной безопасности объектов транспортной инфраструктуры дорожного хозяйства Мурманской области"
Номер опубликования: 5100202509120001
Дата опубликования:
12.09.2025
