Официальное опубликование правовых актов
ОФИЦИАЛЬНОЕ ОПУБЛИКОВАНИЕ
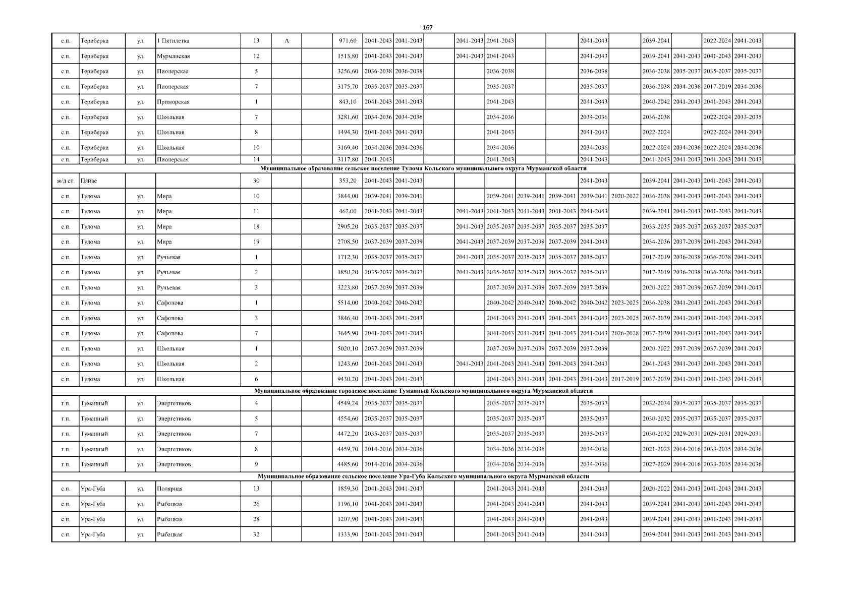
Постановление Правительства Мурманской области от 10.04.2025 № 258-ПП
"О внесении изменений в региональную программу капитального ремонта общего имущества в многоквартирных домах, расположенных на территории Мурманской области, на 2014 - 2043 годы"
Номер опубликования: 5100202504140002
Дата опубликования: 14.04.2025
Страница №168 из 184:
Увеличить