Официальное опубликование правовых актов
ОФИЦИАЛЬНОЕ ОПУБЛИКОВАНИЕ
Постановление Губернатора Мурманской области от 24.03.2025 № 35-ПГ
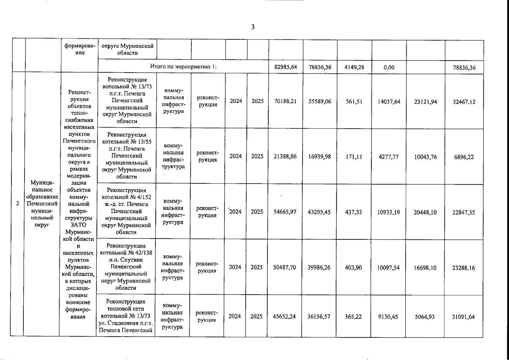
"О внесении изменений в детализированный перечень мероприятий, реализуемых в рамках мероприятий Мурманской области, одобренных в соответствии с постановлением Правительства Российской Федерации от 31.03.2023 № 525 "Об утверждении Правил предоставления Федеральным казначейством бюджетам субъектов Российской Федерации бюджетных кредитов за счет временно свободных средств единого счета федерального бюджета и о внесении изменения в пункт 12.1 Положения о Правительственной комиссии по региональному развитию в Российской Федерации"
Номер опубликования: 5100202503250007
Дата опубликования: 25.03.2025
Страница №4 из 10:
Увеличить