Официальное опубликование правовых актов
ОФИЦИАЛЬНОЕ ОПУБЛИКОВАНИЕ
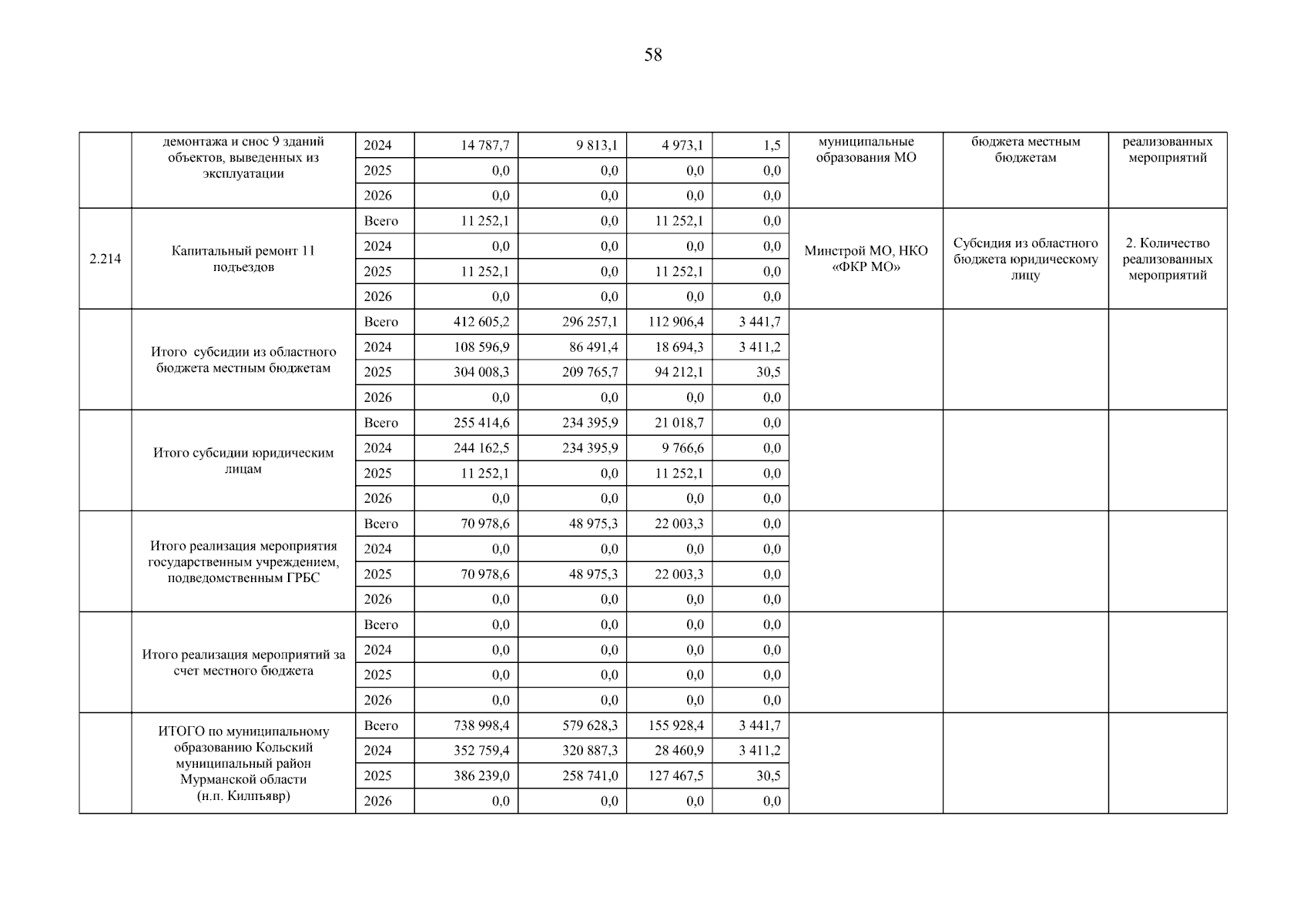
Постановление Правительства Мурманской области от 05.02.2025 № 65-ПП
"О внесении изменений в региональную программу "План мероприятий по развитию жилищной, энергетической и социальной инфраструктуры закрытых административно-территориальных образований и населенных пунктов Мурманской области, в которых дислоцированы воинские формирования" на 2024-2026 годы"
Номер опубликования: 5100202502100003
Дата опубликования: 10.02.2025
Страница №59 из 66:
Увеличить