Официальное опубликование правовых актов
ОФИЦИАЛЬНОЕ ОПУБЛИКОВАНИЕ
Постановление Правительства Мурманской области от 20.12.2024 № 909-ПП
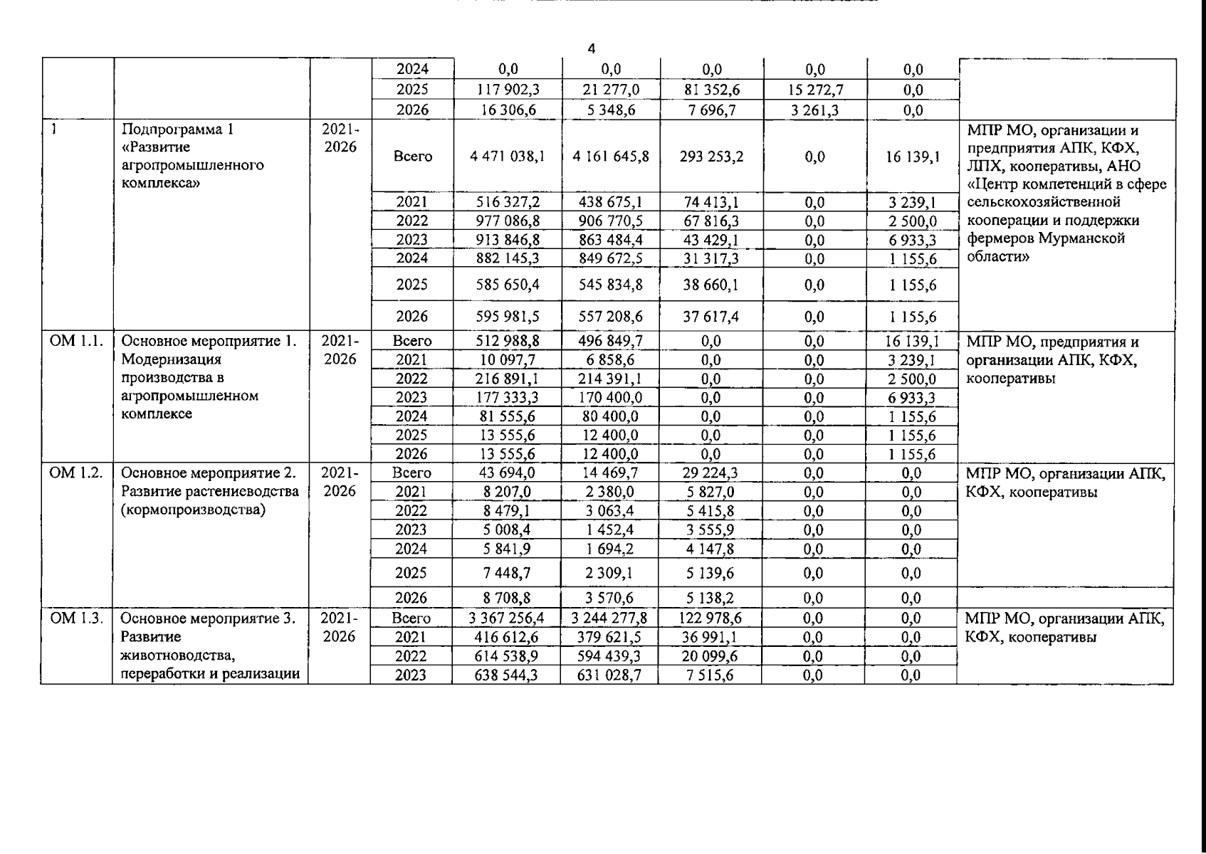
"Об увеличении бюджетных ассигнований резервного фонда Правительства Мурманской области и о внесении изменения в государственную программу Мурманской области "Рыбное и сельское хозяйство"
Номер опубликования: 5100202412230008
Дата опубликования: 23.12.2024
Страница №7 из 13:
Увеличить