Официальное опубликование правовых актов
ОФИЦИАЛЬНОЕ ОПУБЛИКОВАНИЕ
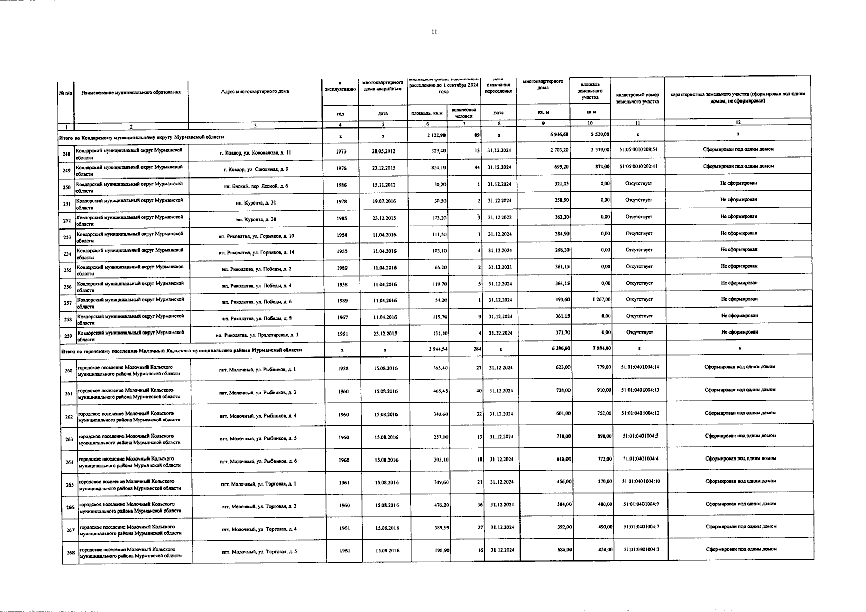
Постановление Правительства Мурманской области от 15.11.2024 № 785-ПП
"О внесении изменений в региональную адресную программу "Переселение граждан из аварийного жилищного фонда в Мурманской области" на 2019-2024 годы"
Номер опубликования: 5100202411180004
Дата опубликования: 18.11.2024
Страница №14 из 24:
Увеличить