Официальное опубликование правовых актов
ОФИЦИАЛЬНОЕ ОПУБЛИКОВАНИЕ
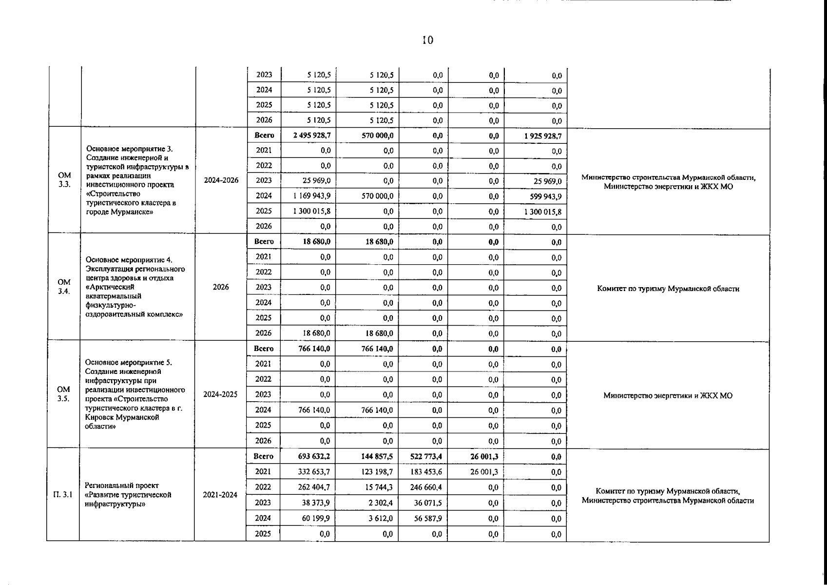
Постановление Правительства Мурманской области от 19.09.2024 № 630-ПП
"О внесении изменений в государственную программу Мурманской области "Экономический потенциал"
Номер опубликования: 5100202409230001
Дата опубликования: 23.09.2024
Страница №11 из 14:
Увеличить