Официальное опубликование правовых актов
ОФИЦИАЛЬНОЕ ОПУБЛИКОВАНИЕ
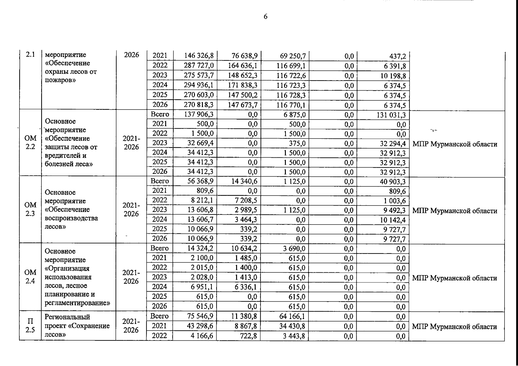
Постановление Правительства Мурманской области от 05.08.2024 № 525-ПП
"О внесении изменений в государственную программу Мурманской области "Природные ресурсы и экология"
Номер опубликования: 5100202408070002
Дата опубликования: 07.08.2024
Страница №7 из 13:
Увеличить