Официальное опубликование правовых актов
ОФИЦИАЛЬНОЕ ОПУБЛИКОВАНИЕ
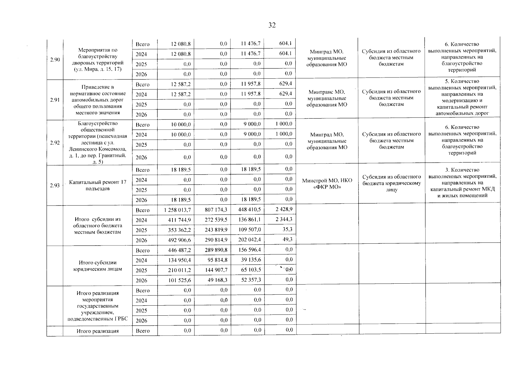
Постановление Правительства Мурманской области от 27.06.2024 № 420-ПП
"Об утверждении региональной программы "План развития социальной и инженерной инфраструктуры закрытых административно-территориальных образований и населенных пунктов Мурманской области с дислокацией военных формирований" на 2024-2026 годы"
Номер опубликования: 5100202406280008
Дата опубликования: 28.06.2024
Страница №33 из 63:
Увеличить