Официальное опубликование правовых актов
ОФИЦИАЛЬНОЕ ОПУБЛИКОВАНИЕ
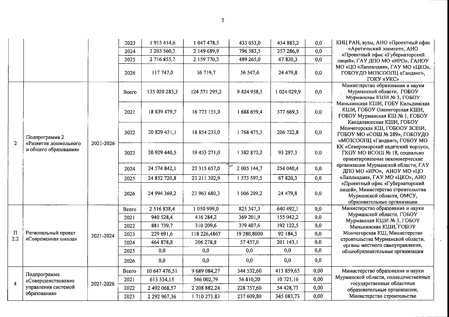
Постановление Правительства Мурманской области от 29.03.2024 № 199-ПП
"О внесении изменений в государственную программу Мурманской области "Образование и наука"
Номер опубликования: 5100202404010005
Дата опубликования: 01.04.2024
Страница №6 из 10:
Увеличить