Официальное опубликование правовых актов
ОФИЦИАЛЬНОЕ ОПУБЛИКОВАНИЕ
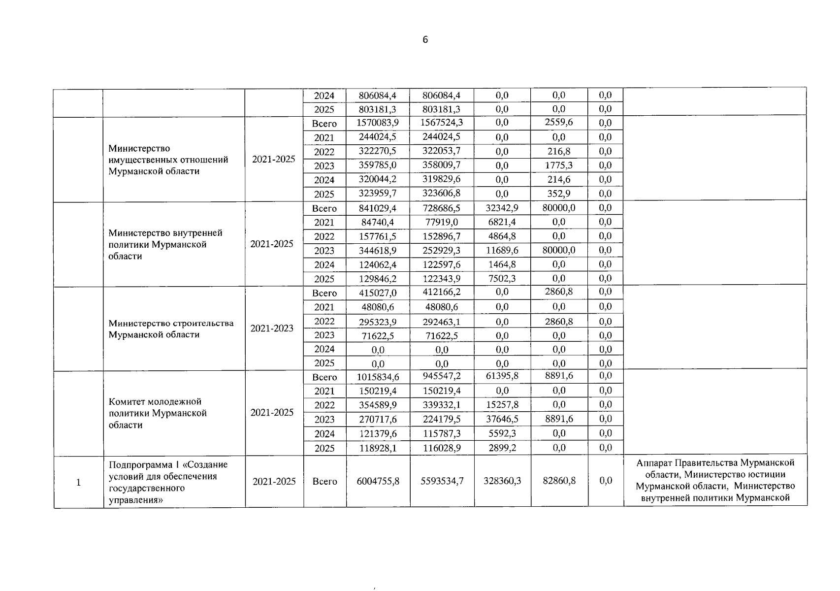
Постановление Правительства Мурманской области от 30.08.2023 № 614-ПП
"О внесении изменений в государственную программу Мурманской области "Государственное управление и гражданское общество"
Номер опубликования: 5100202308310002
Дата опубликования: 31.08.2023
Страница №7 из 12:
Увеличить