Официальное опубликование правовых актов
ОФИЦИАЛЬНОЕ ОПУБЛИКОВАНИЕ
Постановление Правительства Мурманской области от 05.05.2023 № 345-ПП
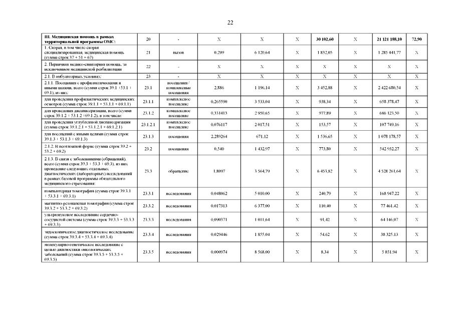
"О внесении изменений в Территориальную программу государственных гарантий бесплатного оказания гражданам медицинской помощи в Мурманской области на 2023 год и на плановый период 2024 и 2025 годов"
Номер опубликования: 5100202305050012
Дата опубликования: 05.05.2023
Страница №23 из 131:
Увеличить