Официальное опубликование правовых актов
ОФИЦИАЛЬНОЕ ОПУБЛИКОВАНИЕ
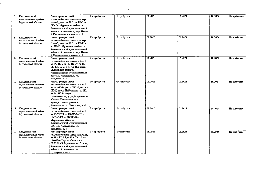
Постановление Правительства Мурманской области от 27.04.2023 № 318-ПП
"Об утверждении региональной программы "Модернизация систем коммунальной инфраструктуры Мурманской области на 2023-2027 годы"
Номер опубликования: 5100202304280003
Дата опубликования: 28.04.2023
Страница №25 из 25:
Увеличить