Официальное опубликование правовых актов
ОФИЦИАЛЬНОЕ ОПУБЛИКОВАНИЕ
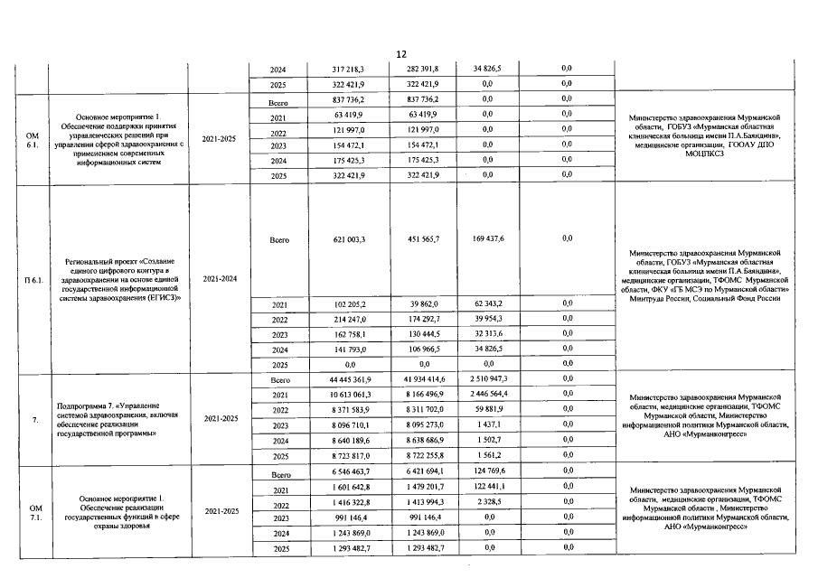
Постановление Правительства Мурманской области от 17.02.2023 № 131-ПП
"О внесении изменений в государственную программу Мурманской области "Здравоохранение"
Номер опубликования: 5100202302200002
Дата опубликования: 20.02.2023
Страница №13 из 15:
Увеличить