Официальное опубликование правовых актов
ОФИЦИАЛЬНОЕ ОПУБЛИКОВАНИЕ
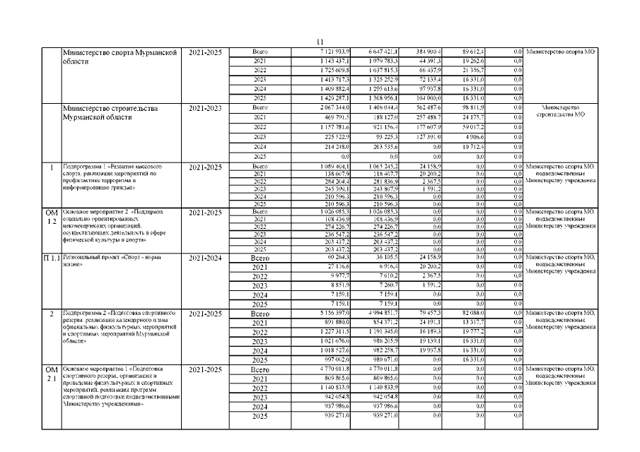
Постановление Правительства Мурманской области от 07.02.2023 № 89-ПП
"О внесении изменений в государственную программу Мурманской области "Физическая культура и спорт"
Номер опубликования: 5100202302130003
Дата опубликования: 13.02.2023
Страница №12 из 60:
Увеличить