Официальное опубликование правовых актов
ОФИЦИАЛЬНОЕ ОПУБЛИКОВАНИЕ
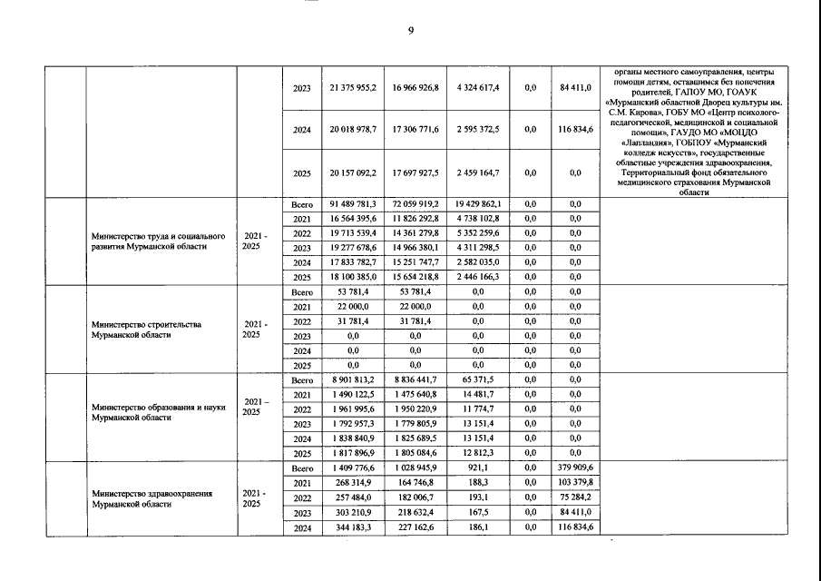
Постановление Правительства Мурманской области от 01.02.2023 № 68-ПП
"О внесении изменений в государственную программу Мурманской области "Социальная поддержка"
Номер опубликования: 5100202302010001
Дата опубликования: 01.02.2023
Страница №10 из 18:
Увеличить