Официальное опубликование правовых актов
ОФИЦИАЛЬНОЕ ОПУБЛИКОВАНИЕ
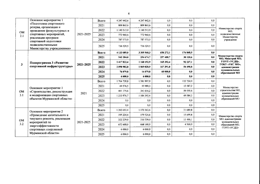
Постановление Правительства Мурманской области от 15.12.2022 № 1014-ПП
"О внесении изменений в государственную программу Мурманской области "Физическая культура и спорт"
Номер опубликования: 5100202212190004
Дата опубликования: 19.12.2022
Страница №5 из 8:
Увеличить