Официальное опубликование правовых актов
ОФИЦИАЛЬНОЕ ОПУБЛИКОВАНИЕ
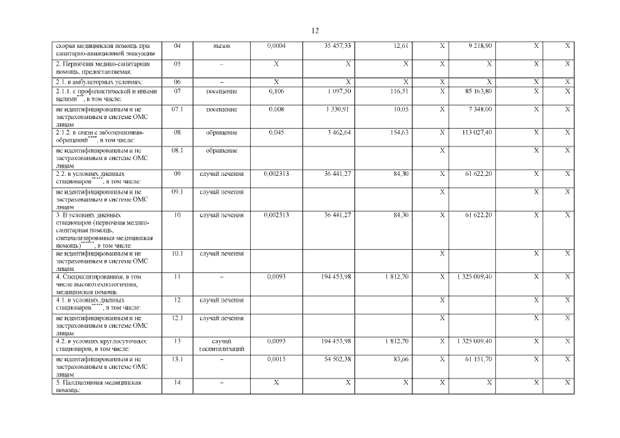
Закон Мурманской области от 14.12.2022 № 2841-01-ЗМО
"О внесении изменений в Закон Мурманской области "О Территориальной программе государственных гарантий бесплатного оказания гражданам медицинской помощи в Мурманской области на 2022 год и на плановый период 2023 и 2024 годов"
Номер опубликования: 5100202212140004
Дата опубликования: 14.12.2022
Страница №12 из 89:
Увеличить