Официальное опубликование правовых актов
ОФИЦИАЛЬНОЕ ОПУБЛИКОВАНИЕ
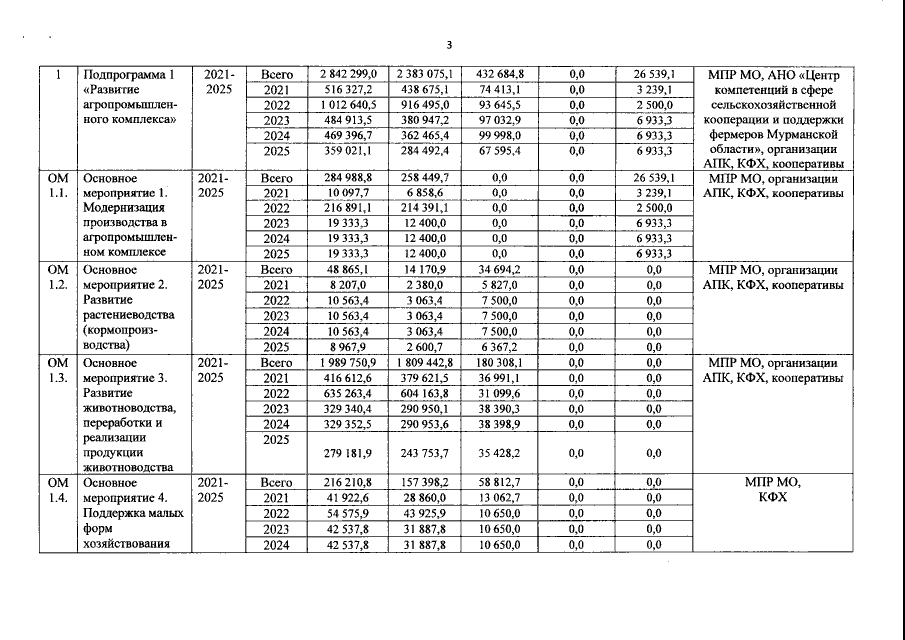
Постановление Правительства Мурманской области от 07.12.2022 № 958-ПП
"О внесении изменений в государственную программу Мурманской области "Рыбное и сельское хозяйство"
Номер опубликования: 5100202212070009
Дата опубликования: 07.12.2022
Страница №4 из 10:
Увеличить