Официальное опубликование правовых актов
ОФИЦИАЛЬНОЕ ОПУБЛИКОВАНИЕ
Постановление Правительства Мурманской области от 03.11.2022 № 877-ПП
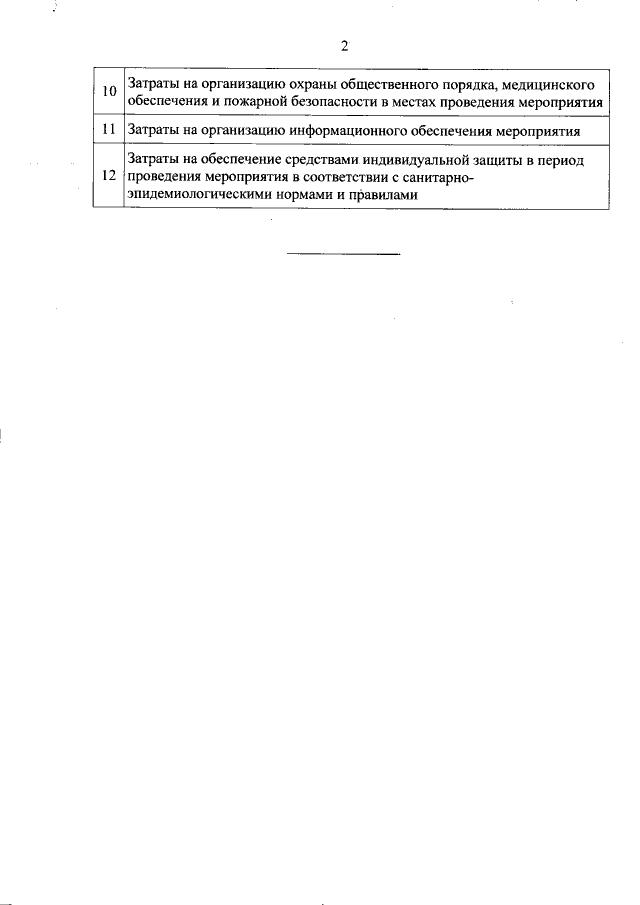
"Об утверждении порядка предоставления субсидии из областного бюджета автономной некоммерческой организации по развитию конгрессно-выставочной, ярмарочной и информационной деятельности "Мурманконгресс" на финансовое обеспечение затрат, связанных с проведением торжественного закрытия Всероссийской акции "Вахта памяти"
Номер опубликования: 5100202211070001
Дата опубликования: 07.11.2022
Страница №13 из 14:
Увеличить