Официальное опубликование правовых актов
ОФИЦИАЛЬНОЕ ОПУБЛИКОВАНИЕ
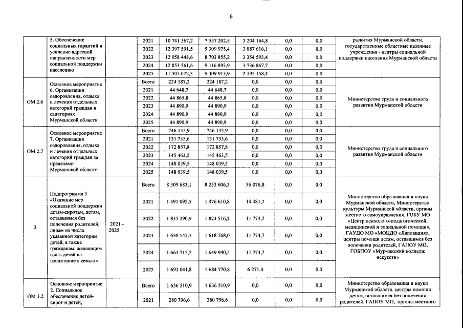
Постановление Правительства Мурманской области от 02.11.2022 № 875-ПП
"О внесении изменений в государственную программу Мурманской области "Социальная поддержка"
Номер опубликования: 5100202211030003
Дата опубликования: 03.11.2022
Страница №7 из 15:
Увеличить