Официальное опубликование правовых актов
ОФИЦИАЛЬНОЕ ОПУБЛИКОВАНИЕ
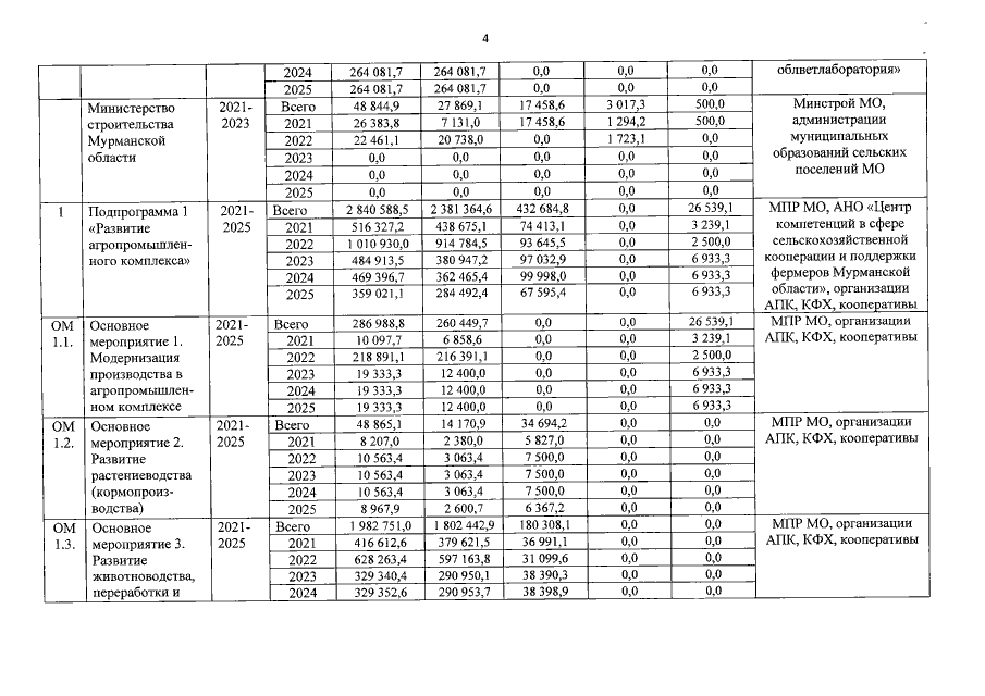
Постановление Правительства Мурманской области от 10.10.2022 № 799-ПП
"О внесении изменений в государственную программу Мурманской области "Рыбное и сельское хозяйство"
Номер опубликования: 5100202210110003
Дата опубликования: 11.10.2022
Страница №5 из 11:
Увеличить