Официальное опубликование правовых актов
ОФИЦИАЛЬНОЕ ОПУБЛИКОВАНИЕ
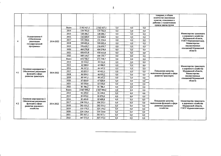
Постановление Правительства Мурманской области от 26.08.2022 № 684-ПП
"О внесении изменений в государственную программу Мурманской области "Развитие транспортной системы"
Номер опубликования: 5100202208300003
Дата опубликования: 30.08.2022
Страница №6 из 6:
Увеличить