Официальное опубликование правовых актов
ОФИЦИАЛЬНОЕ ОПУБЛИКОВАНИЕ
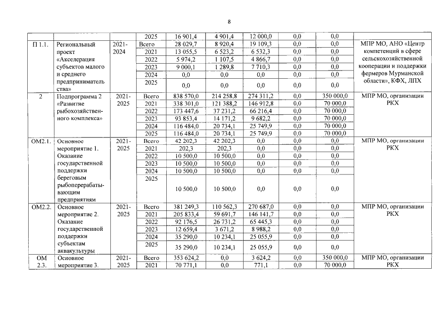
Постановление Правительства Мурманской области от 27.12.2021 № 998-ПП
"О внесении изменений в государственную программу Мурманской области "Рыбное и сельское хозяйство"
Номер опубликования: 5100202112280007
Дата опубликования: 28.12.2021
Страница №9 из 16:
Увеличить