Официальное опубликование правовых актов
ОФИЦИАЛЬНОЕ ОПУБЛИКОВАНИЕ
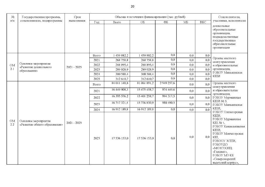
Постановление Правительства Мурманской области от 23.12.2021 № 977-ПП
"О внесении изменений в государственную программу Мурманской области "Образование и наука"
Номер опубликования: 5100202112240007
Дата опубликования: 24.12.2021
Страница №21 из 65:
Увеличить