Официальное опубликование правовых актов
ОФИЦИАЛЬНОЕ ОПУБЛИКОВАНИЕ
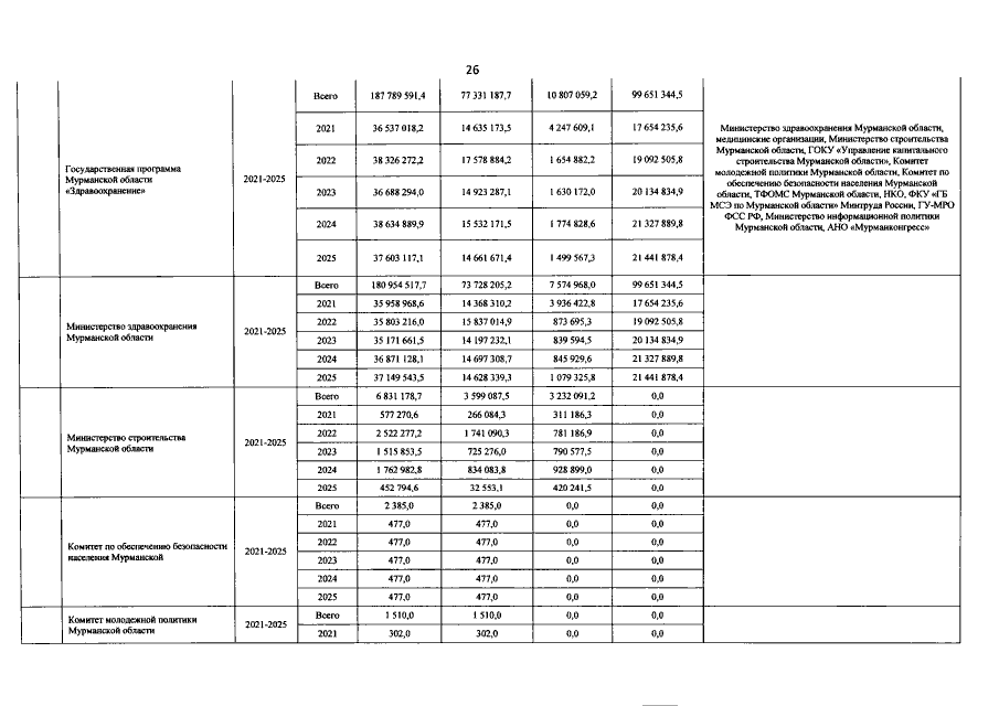
Постановление Правительства Мурманской области от 20.12.2021 № 956-ПП
"О внесении изменений в государственную программу Мурманской области "Здравоохранение"
Номер опубликования: 5100202112200007
Дата опубликования: 20.12.2021
Страница №27 из 36:
Увеличить