Официальное опубликование правовых актов
ОФИЦИАЛЬНОЕ ОПУБЛИКОВАНИЕ
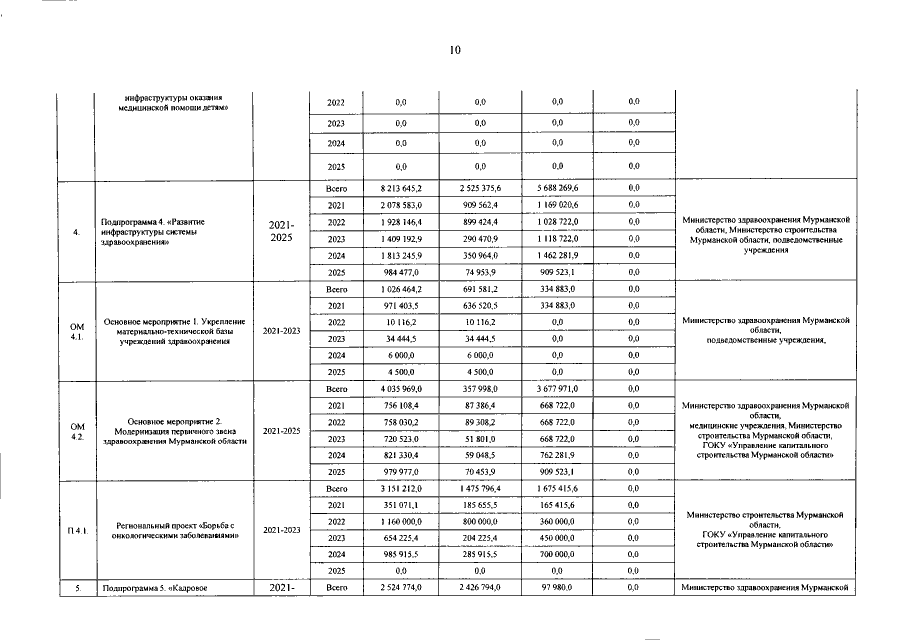
Постановление Правительства Мурманской области от 17.11.2021 № 859-ПП
"О внесении изменений в государственную программу Мурманской области "Здравоохранение"
Номер опубликования: 5100202111220001
Дата опубликования: 22.11.2021
Страница №11 из 14:
Увеличить