Официальное опубликование правовых актов
ОФИЦИАЛЬНОЕ ОПУБЛИКОВАНИЕ
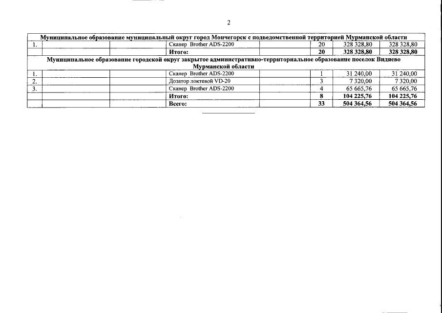
Постановление Правительства Мурманской области от 11.08.2021 № 558-ПП
"О передаче государственного имущества Мурманской области в собственность муниципальных образований Мурманской области"
Номер опубликования: 5100202108130003
Дата опубликования: 13.08.2021
Страница №5 из 5:
Увеличить