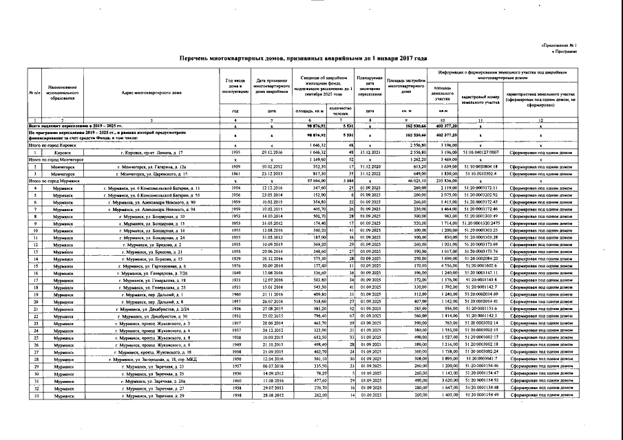
Постановление Правительства Мурманской области от 26.07.2021 № 515-ПП
"О внесении изменений в региональную адресную программу "Переселение граждан из аварийного жилищного фонда в Мурманской области" на 2019-2025 годы
"О внесении изменений в региональную адресную программу "Переселение граждан из аварийного жилищного фонда в Мурманской области" на 2019-2025 годы
Номер опубликования: 5100202107280006
Дата опубликования:
28.07.2021
