Официальное опубликование правовых актов
ОФИЦИАЛЬНОЕ ОПУБЛИКОВАНИЕ
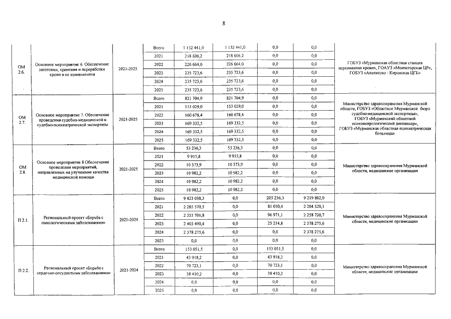
Постановление Правительства Мурманской области от 22.06.2021 № 387-ПП
"О внесении изменений в государственную программу Мурманской области "Здравоохранение"
Номер опубликования: 5100202106280004
Дата опубликования: 28.06.2021
Страница №9 из 14:
Увеличить