Официальное опубликование правовых актов
ОФИЦИАЛЬНОЕ ОПУБЛИКОВАНИЕ
Постановление Правительства Мурманской области от 02.06.2021 № 332-ПП
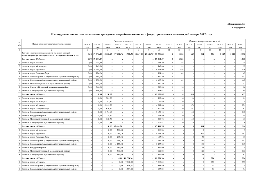
"О дополнительной мере поддержки для собственников жилых помещений в многоквартирных домах, признанных в установленном порядке аварийными и подлежащими сносу или реконструкции, и о внесении изменений в региональную адресную программу "Переселение граждан из аварийного жилищного фонда в Мурманской области" на 2019-2025 годы"
Номер опубликования: 5100202106070009
Дата опубликования: 07.06.2021
Страница №29 из 31:
Увеличить