Официальное опубликование правовых актов
ОФИЦИАЛЬНОЕ ОПУБЛИКОВАНИЕ
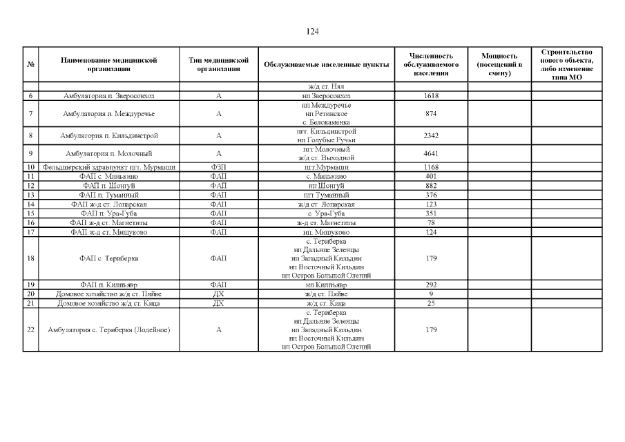
Постановление Правительства Мурманской области от 14.12.2020 № 875-ПП
"Об утверждении региональной программы модернизации первичного звена здравоохранения"
Номер опубликования: 5100202012150010
Дата опубликования: 15.12.2020
Страница №125 из 405:
Увеличить