Официальное опубликование правовых актов
ОФИЦИАЛЬНОЕ ОПУБЛИКОВАНИЕ
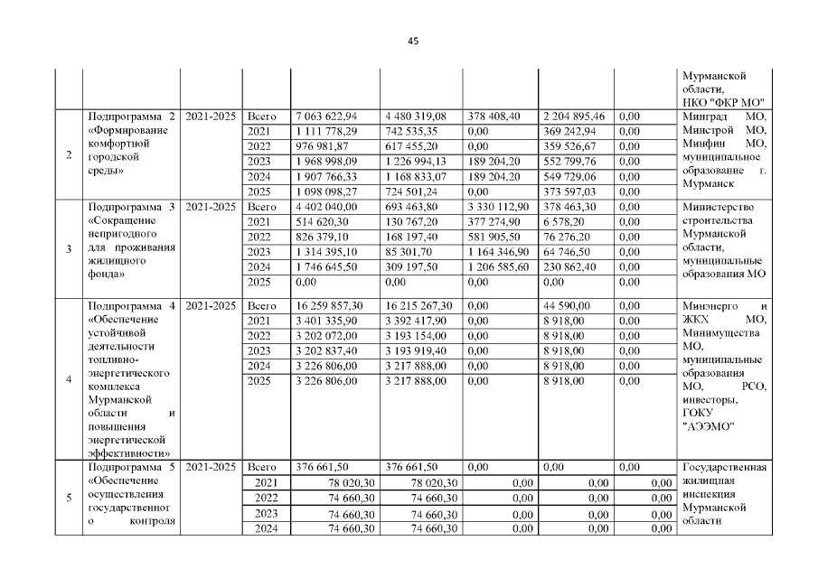
Постановление Правительства Мурманской области от 13.11.2020 № 795-ПП
"О государственной программе Мурманской области "Комфортное жилье и городская среда"
Номер опубликования: 5100202011200001
Дата опубликования: 20.11.2020
Страница №46 из 214:
Увеличить