Официальное опубликование правовых актов
ОФИЦИАЛЬНОЕ ОПУБЛИКОВАНИЕ
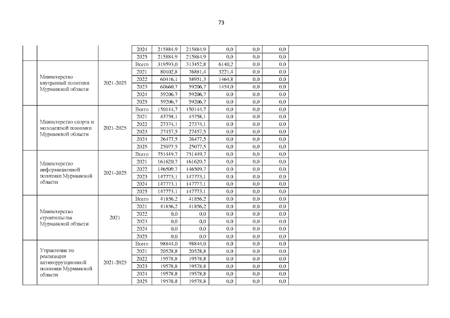
Постановление Правительства Мурманской области от 11.11.2020 № 793-ПП
"Об утверждении государственной программы Мурманской области "Государственное управление и гражданское общество"
Номер опубликования: 5100202011180004
Дата опубликования: 18.11.2020
Страница №75 из 115:
Увеличить