Официальное опубликование правовых актов
ОФИЦИАЛЬНОЕ ОПУБЛИКОВАНИЕ
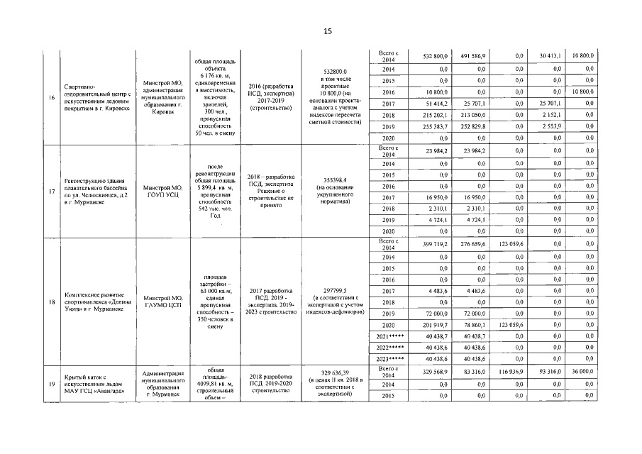
Постановление Правительства Мурманской области от 30.06.2020 № 468-ПП
"О внесении изменений в государственную программу Мурманской области "Развитие физической культуры и спорта"
Номер опубликования: 5100202007060004
Дата опубликования: 06.07.2020
Страница №16 из 20:
Увеличить