Официальное опубликование правовых актов
ОФИЦИАЛЬНОЕ ОПУБЛИКОВАНИЕ
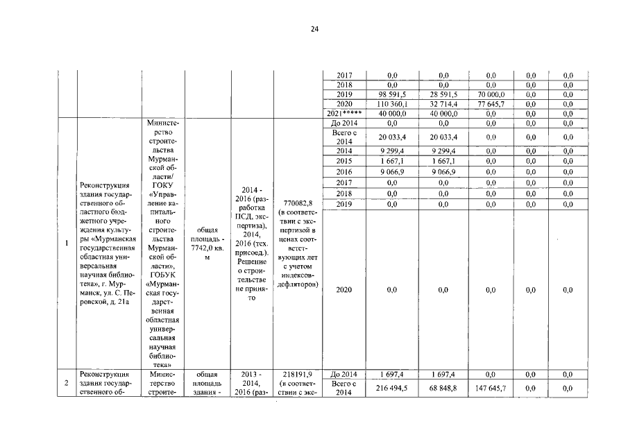
Постановление Правительства Мурманской области от 13.04.2020 № 201-ПП
"О внесении изменений в государственную программу Мурманской области "Развитие культуры и сохранение культурного наследия региона"
Номер опубликования: 5100202004140012
Дата опубликования: 14.04.2020
Страница №25 из 46:
Увеличить