Официальное опубликование правовых актов
ОФИЦИАЛЬНОЕ ОПУБЛИКОВАНИЕ
Постановление Правительства Мурманской области от 30.12.2019 № 609-ПП
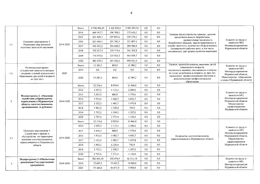
"О внесении изменений в государственную программу Мурманской области "Управление развитием регионального рынка труда"
Номер опубликования: 5100202001040009
Дата опубликования: 04.01.2020
Страница №5 из 9:
Увеличить