Официальное опубликование правовых актов
ОФИЦИАЛЬНОЕ ОПУБЛИКОВАНИЕ
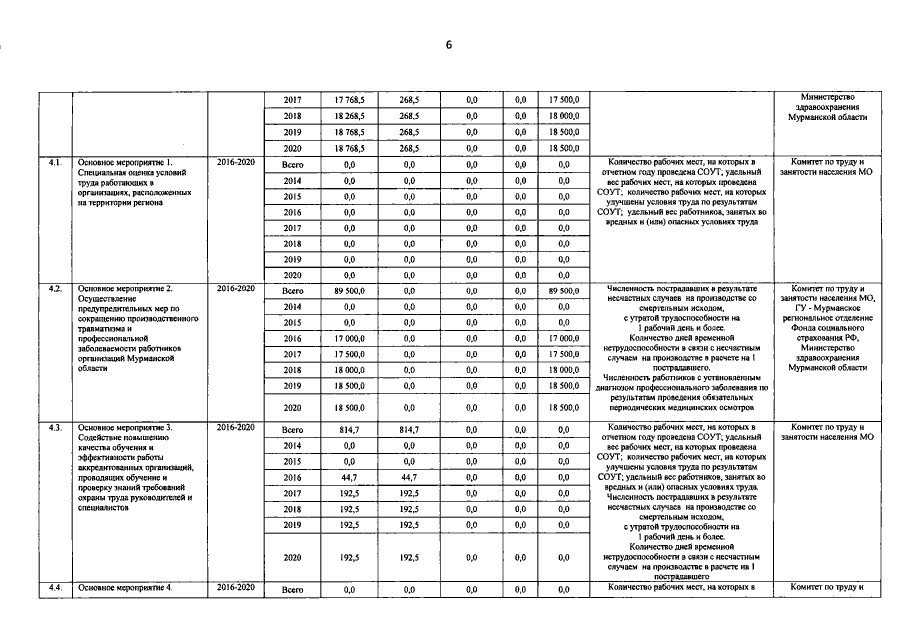
Постановление Правительства Мурманской области от 22.05.2018 № 217-ПП
"О внесении изменений в государственную программу Мурманской области "Управление развитием регионального рынка труда"
Номер опубликования: 5100201805280023
Дата опубликования: 28.05.2018
Страница №7 из 9:
Увеличить