Официальное опубликование правовых актов
ОФИЦИАЛЬНОЕ ОПУБЛИКОВАНИЕ
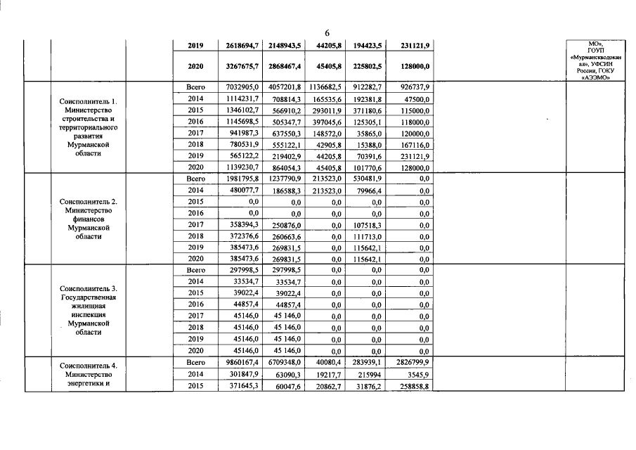
Постановление Правительства Мурманской области от 10.02.2017 № 69-ПП
"О внесении изменений в государственную программу Мурманской области "Обеспечение комфортной среды проживания населения региона"
Номер опубликования: 5100201702170002
Дата опубликования: 17.02.2017
Страница №7 из 19:
Увеличить