Официальное опубликование правовых актов
ОФИЦИАЛЬНОЕ ОПУБЛИКОВАНИЕ
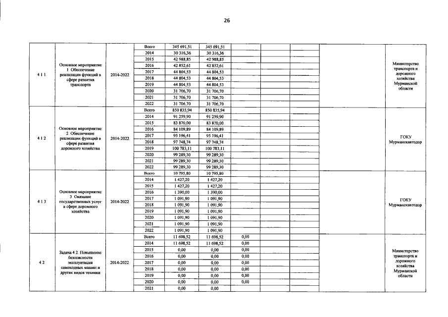
Постановление Правительства Мурманской области от 21.12.2016 № 648-ПП
"О внесении изменений в государственную программу Мурманской области "Развитие транспортной системы"
Номер опубликования: 5100201612230004
Дата опубликования: 23.12.2016
Страница №27 из 55:
Увеличить