Официальное опубликование правовых актов
ОФИЦИАЛЬНОЕ ОПУБЛИКОВАНИЕ
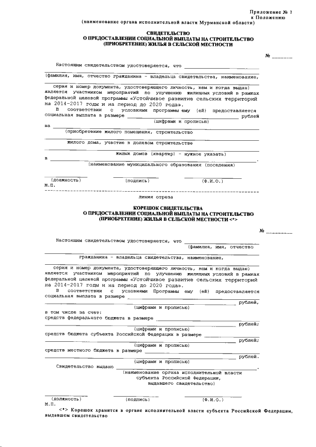
Постановление Правительства Мурманской области от 05.08.2016 № 391-ПП
"О внесении изменений в постановление Правительства Мурманской области от 28.03.2014 № 162-ПП"
Номер опубликования: 5100201608100001
Дата опубликования: 10.08.2016
Страница №20 из 23:
Увеличить