Официальное опубликование правовых актов
ОФИЦИАЛЬНОЕ ОПУБЛИКОВАНИЕ
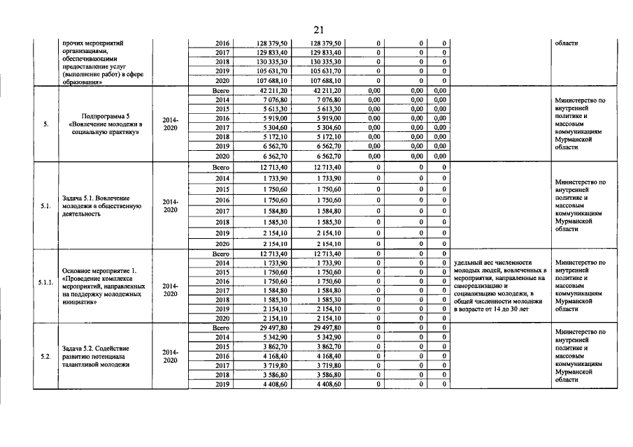
Постановление Правительства Мурманской области от 29.06.2016 № 319-ПП
"О внесении изменений в государственную программу Мурманской области "Развитие образования"
Номер опубликования: 5100201607010003
Дата опубликования: 01.07.2016
Страница №22 из 68:
Увеличить