Официальное опубликование правовых актов
ОФИЦИАЛЬНОЕ ОПУБЛИКОВАНИЕ
Постановление Правительства Мурманской области от 31.05.2016 № 258-ПП
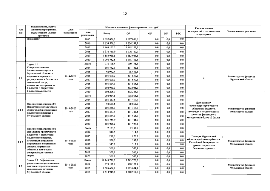
"О внесении изменений в государственную программу Мурманской области "Управление региональными финансами, создание условий для эффективного и ответственного управления муниципальными финансами"
Номер опубликования: 5100201606020004
Дата опубликования: 02.06.2016
Страница №16 из 22:
Увеличить