Официальное опубликование правовых актов
ОФИЦИАЛЬНОЕ ОПУБЛИКОВАНИЕ
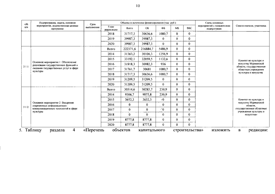
Постановление Правительства Мурманской области от 23.03.2016 № 120-ПП
"О внесении изменений в государственную программу Мурманской области "Развитие культуры и сохранение культурного наследия региона"
Номер опубликования: 5100201603250013
Дата опубликования: 25.03.2016
Страница №11 из 14:
Увеличить