Официальное опубликование правовых актов
ОФИЦИАЛЬНОЕ ОПУБЛИКОВАНИЕ
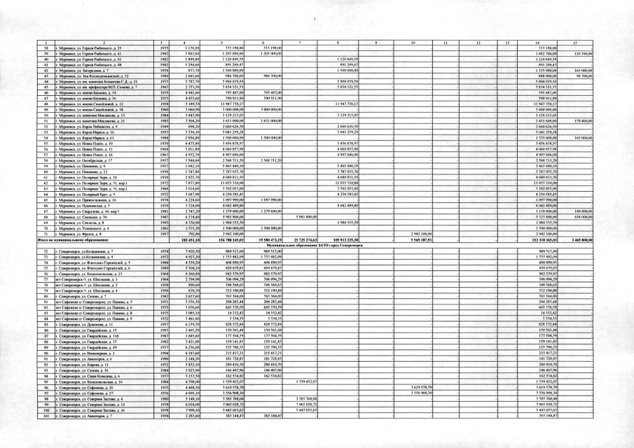
Постановление Правительства Мурманской области от 04.12.2015 № 562-ПП
"О внесении изменений в постановление Правительства Мурманской области от 27.06.2014 № 325-ПП/9"
Номер опубликования: 5100201512080003
Дата опубликования: 08.12.2015
Страница №3 из 9:
Увеличить