Официальное опубликование правовых актов
ОФИЦИАЛЬНОЕ ОПУБЛИКОВАНИЕ
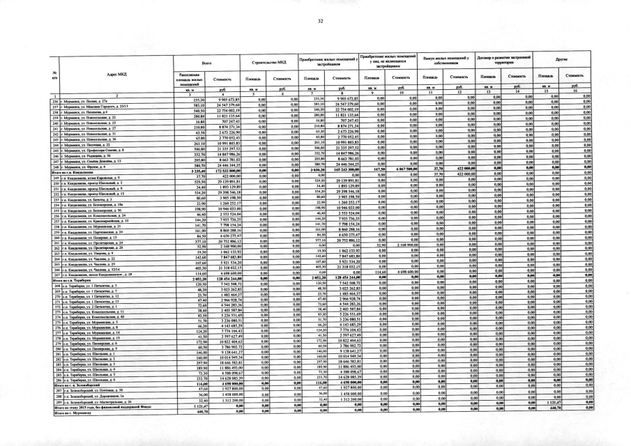
Постановление Правительства Мурманской области от 02.12.2015 № 555-ПП
"О внесении изменений в программу "Переселение граждан из аварийного жилищного фонда в Мурманской области" на 2013-2017 годы"
Номер опубликования: 5100201512040004
Дата опубликования: 04.12.2015
Страница №33 из 48:
Увеличить