Официальное опубликование правовых актов
ОФИЦИАЛЬНОЕ ОПУБЛИКОВАНИЕ
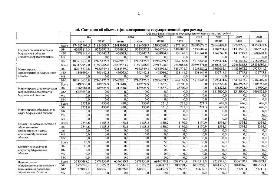
Постановление Правительства Мурманской области от 14.08.2015 № 355-ПП
"О внесении изменений в государственную программу Мурманской области "Развитие здравоохранения"
Номер опубликования: 5100201508180003
Дата опубликования: 18.08.2015
Страница №3 из 27:
Увеличить